Research from our group involves in highly demanding technological applications like Ferroelectric photovoltaics, Energy storage performance, Photo-electrocaloric refrigeration, Triboelectric nanogenerators, Multiferroics etc. We focus on synthesizing environmental friendly novel materials (both bulk and thin films) which addresses the basic challenges in current time. We carry out wide range of experiments which deals with precise measurements that rely on fundamental physics.

Magnetic ordering and magnetocaloric effect in rare earth oxides

Efforts are made to understand the intriguing physics of magnetic and ferroelectric orderings along with their magnetoelectric coupling mechanisms in pristine and doped rare earth manganite systems. Consequently, magnetic phase diagrams are proposed for Ho1-xDyxMnO3 , Gd1-xYbxMnO3 and GdMn1-xFexO3 perovskite oxides. Low-field magnetically tunable magnetization reversal is found to appear between spin-reorientation transition (TSR) and antiferromagnetic ordering transition (TN) in GdMn1-xFexO3 system due to the competition between single-ion magnetic anisotropy and antisymmetric Dzyaloshinsky-Moriya interaction. We also found coexistence of magnetically switchable conventional and inverse magnetocaloric effect near room temperature.
Phys. Rev. Mater. 4, 044407 (2020)
Magnetoelectric effect in laminate composite structures

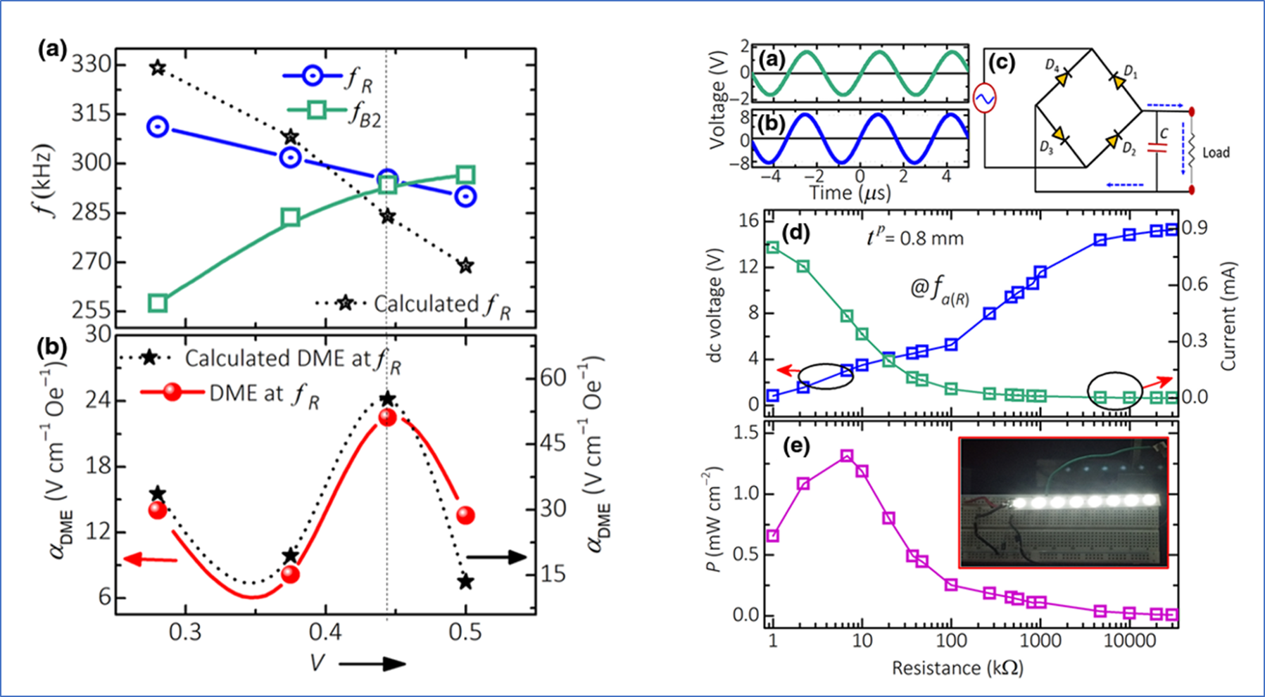
The magnetoelectric (ME) effect in composites, a strain-mediated coupling phenomenon between piezoelectric and magnetostrictive phases, has a wide range of technological applications. ME coupling phenomena are explored in Pb-free piezoelectric, 0.5Ba(Zr0.2Ti0.8)O3-0.5(Ba0.7Ca0.3)TiO3 (BZT-BCT) and piezomagnetic NiFe2O4 bilayer laminate composites. The direct and converse ME coupling strengths are found to be enhanced at the electromechanical resonance modes, rather than at the off-resonance frequencies. Here, it is proposed to further enhance the ME coupling strength at electromechanical resonance modes by the in-phase superimposition of the radial and second bending modes via varying the bilayer thickness, which, in turn, varies the volume fraction of the bilayer. The proposed enhanced ME coupling is experimentally demonstrated at a theoretically envisaged bilayer thickness of about 1.8 mm. This results in a large direct ME coupling coefficient as high as 24 Vcm−1 Oe−1, which is around 100% more than the values observed at individual resonance modes. The method adopted in this work gives a roadmap to the significant enhancement of the ME effect in laminate composites.
Phys. Rev. Appl. 13, 024026 (2020)
Ferroelectric photovoltaic effect

Ferroelectric systems with the observed anomalous photovoltaic (PV) phenomenon are considered as next generation photovoltaic materials. Our interest is to probe the PV effect in ferroelectric systems with more emphasis on understanding the anomalous PV effect. Our experimental and theoretical studies on couple of ferroelectric systems such as BZT-BCT, Ba1-x(Bi0.5Li0.5)xTiO3 , BaTi1-xSnxO3 , and Bi1-xLaxFeO3 revealed correlation among the orbital character at the conduction band edge, structural symmetry and the PV effect. We have demonstrated a giant photovoltaic response with open circuit voltage VOC ~ 16 V by engineering the band structure of BaTiO3 perovskite.
Sci. Rep. 8, 8005 (2018)
Photo-ferroelectric and electrocaloric phenomena

The change in physical properties of the ferroelectric system under light illumination, known as photo-ferroelectric effect. In particular, photo-ferroelectric effect is attributed to the photo-induced changes in polarization dynamics caused by altering the surface screening effect. Considerable efforts have been made to understand the intriguing physics of the photo-ferroelectric phenomena and demonstrated that light can be used as an additional degree of freedom to manipulate the ferroelectric properties of the system. Electrocaloric response also depends on the polarization dynamics of the material, it is envisaged to enhance its performance characteristics using light as an external stimulus. To explore such light-induced EC response, lead-free ferroelectric Ba0.875(Bi0.5Li0.5)0.125TiO3 (BBLT) compound exhibiting a giant photovoltaic response is considered as a model system. The studies carried out under dark and light conditions revealed a remarkable ~ 27% enhancement in the EC effect.
Sci. Rep. 12, 6390 (2022)